Title

Effects of an intranasal essential oil spray on respiratory pathogens, nasopharyngeal microbiota, and animal performance in feedlot steers

(AS2100-12, December 2023)
File
Publication File:
Summary

We recently identified five essential oils (EOs) that have the potential to be used as antibiotic alternatives to mitigate bovine respiratory pathogens. This study further tested the efficacy of the intranasal EO spray consisting of these selected EOs in feedlot steers. A single dose of EO spray applied intranasally resulted in the reduction of the abundance of bovine respiratory disease (BRD) associated genera Mannheimia and modulation of the nasopharyngeal microbiota, while showing no negative effects on animal performance and feeding behavior.

Other Authors

Gabriela Magossi1, Kaycie N. Schmidt1, Thomas M. Winders3, Zachary Carlson3, Devin B. Holman2, Sarah R. Underdahl3, Kendall C. Swanson3, and Samat Amat1

1Department of Microbiological Sciences, North Dakota State University, Fargo, ND, 58108, USA
2Lacombe Research and Development Centre, Agriculture and Agri-Food Canada, 6000 C & E Trail, Lacombe, AB, T4L 1W1, Canada
3Department of Animal Sciences, North Dakota State University, Fargo, ND, 58108, USA


Availability
Availability:
Web only
Publication Sections

Summary

Bovine respiratory disease (BRD) remains one of the costliest diseases impacting the North American feedlot industry. BRD prevention in feedlot cattle often relies on the use of antimicrobial metaphylaxis at the time of feedlot arrival. Despite use of metaphylaxis, the incidence of BRD in feedlot cattle continues to increase, and this is partially due to the emergence and spread of antimicrobial resistance in bovine respiratory pathogens against those classes of antibiotics used as metaphylaxis. Thus, there is an impetus to develop antimicrobial alternatives to mitigate BRD pathogens in feedlot cattle. Five EOs were previously characterized in vitro and identified as candidate EOs for the development of an intranasal EO spray against BRD pathogens as an alternative to antibiotics. The present in vivo study evaluated the effects of a single intranasal dose of EO spray on bovine respiratory pathogens, nasopharyngeal microbiota, and animal performance in feedlot steers. Study results suggest the possibility of using intranasal EOs to modulate nasopharyngeal microbiota and mitigate BRD pathogens in feedlot cattle.

Introduction

Calves arriving at the feedlot are often exposed to a number of stressors, such as stresses associated with weaning, transportation, and comingling at the auction market. As a result, calves experience suppressed immunity and altered respiratory microbiota equilibrium, which predisposes the calves to the development of BRD (Peel, 2020). Antibiotic metaphylaxis is, therefore, used at feedlot arrival by most commercial feedlots across the US and Canada to mitigate respiratory bacterial pathogens and prevent BRD. However, due to the increased antimicrobial resistance in respiratory pathogens, BRD incidence in feedlots is increasing (Timsit et al., 2017). To develop alternatives to metaphylactic antibiotics, we set out to explore the potential use of EO-based intranasal spray to mitigate BRD pathogens and modulate the nasopharyngeal microbiome for improved respiratory health. Five EOs – ajowan, thyme, fennel, cinnamon leaf, and citronella – were selected as candidates for an intranasal spray application based on their in vitro antimicrobial activity against respiratory bacterial and viral pathogens and commensal species, as well as immunomodulatory and antibiofilm activities (Amat et al., 2022). The objectives of the present pilot study were to evaluate the effects of a single intranasal dose of EO spray comprised of these 5 selected EOs on respiratory bacterial pathogen abundance, nasopharyngeal microbiota, animal performance, feeding behavior, and immune response of feedlot steers.

Procedures

Forty crossbred Angus steer calves born between April and June 2021 (7 - 8 months old, initial body weight = 624.8 ± 11 lbs [SE]) were assigned for this study. Calves were transported 40 miles from the Ekre Grassland Preserve to the NDSU beef cattle facility after weaning. During the trial, calves were separated into 4 pens based on weight and housed in partially covered pens at the NDSU Beef Cattle Research Complex (BCRC). All calves were individually fed a high-concentrate diet with the Insentec BV feeding system (Hokofarm Group, Marknesse, the Netherlands), which is on a cement pad.. Twenty calves were randomly assigned either to the EO or the control groups. The EO group received an intranasal spray of 5 EOs (ajowan, thyme, fennel, citronella, and cinnamon leaf) with a final concentration of 0.025% (v/v) of each EO diluted in phosphate-buffered saline (PBS), while the control group received an intranasal spray with only PBS. Weights were recorded and nasopharyngeal swabs were collected on days -1 (24 h before treatment application), 1, 2, 7, 14, 28, and 42. Blood was collected on days -1, 2, 7, 28, and 42, and complete blood cell counts were determined by the Veterinary Diagnostic Laboratory at Texas A&M University. Feeding behavior was determined by the number of visits (times that an animal used the feed bunk), meals (a combination of visits within a 7-minute interval) and eating rate (how much time was spent eating). Additionally, the amount of feed ingested was determined by the difference in weight before and after each visit. Genomic DNA was extracted from nasopharyngeal swabs, the bacterial 16S rRNA gene was sequenced, and the SILVA SSU release 138.1 database was used to classify bacteria based on taxonomy (up to the genus level). The relative abundance of bacterial taxa and the microbiota composition were evaluated based on the treatment group and days on experiment.

Results and Discussion

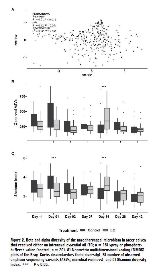
Overall, none of the animals showed any signs indicative of BRD throughout the course of the experiment. A single intranasal EO spray application did not affect body weight, average daily gain, or dry matter intake of steers (P > 0.05) for the 42-day period of this study (Figure 1). Overall, no significant effect of EO spray on animal feeding behavior was observed (P > 0.05; Table 1). As for the impact of EO spray on the nasopharyngeal microbiota, noticeable but subtle changes were observed in the community structure, microbial richness, and diversity (Figure 2). Overall beta diversity of the nasopharyngeal microbiota was distinct between EO and control steers (P < 0.05; Figure 2A). The EO group had increased species richness and diversity on d 14 compared to the control group while having reduced diversity on d 1 (24 h after EO application P < 0.05; Figure 2B). The relative abundance of the BRD-associated genus Mannheimia increased by 3.9-fold (from 2.66% to 10.4%) in control animals from d -1 (24 h pre-EO treatment) to d 2 when compared to EO calves (P > 0.05; Figure 3). The overall relative abundance of the BRD-associated pathogenic genus Pasteurella did not differ between the EO and control groups (data not shown). Furthermore, complete blood cell counts were similar (P > 0.05; data not shown) for both animal groups, indicating that intranasal application of an EO blend did not trigger any short- or long-term (up to 42 days) inflammatory and immune responses in feedlot cattle. Additional research is needed to further explore the use of EOs in feedlot cattle production systems.

Table 1. Feeding behavior of steer calves that received either an intranasal essential oil (EO) spray or phosphate buffered saline (control) over 42 days.

EOControlSEMP-value
Event, per day
Visits17.820.22.040.20
Meals7.47.80.390.31
Time eating, min
Per visit6.85.30.740.05
Per meal12.310.20.940.03
Per day90.579.35.250.04
Eating rate, lbs
Per visit1.71.40.180.13
Per meal3.22.80.220.12
Per min0.30.30.440.66


Figure 1
Figure 2
Figure 3

Acknowledgments

The authors would like to thank the ND Agricultural Experiment Station for financial support of this research, NDSU Beef Cattle Research Complex personnel, the students and faculty from the NDSU Animal Sciences department for assisting with animal husbandry and sample collections, and the NDSU Veterinary Diagnostic Laboratory for assistance with blood analysis.

Literature cited

Amat, S., D. Baines, E. Timsit, J. Hallewell, and T. W. Alexander. 2019. Essential oils inhibit the bovine respiratory pathogens Mannheimia haemolytica, Pasteurella multocida and Histophilus somni and have limited effects on commensal bacteria and turbinate cells in vitro. J. Appl. Microbiol. 126:1668-1682.

Amat, S., A. G. M. Rakibuzzaman, D. Holman, K. Schmidt, L. Kosel, and S. Ramamoorthy. 2022. Development of an essential oil-based intranasal spray against bovine respiratory pathogens: in vitro selection based on antimicrobial, antiviral, immunomodulatory, and antibiofilm activities. J. Anim. Sci 100:5-6.

Peel, D. S. 2020. The effect of market forces on bovine respiratory disease. Vet. Clin. N. Amer. - Food Anim. Pract. 36:497–508.

Timsit, E., J. Hallewell, C. Booker, N. Tison, S. Amat, and T. W. Alexander. 2017. Prevalence and antimicrobial susceptibility of Mannheimia haemolytica, Pasteurella multocida, and Histophilus somni isolated from the lower respiratory tract of healthy feedlot cattle and those diagnosed with bovine respiratory disease. Vet. Microbiol. 208:118-125.